| Info | Profile Positions | Dive History | Raw T-S | Energy | Telemetry | Ice Detect | Exception Flags |
|---|---|---|---|---|---|---|---|
| SOLO_II: #8597 WMO: #5905265 Engineering Plots Fleet Monitor Deployed: 2017-12-10 Last report: 2026-02-27 PI: Phil SUTTON | ![]() |
![]() |
![]() |
![]() |
![]() |
![]() |
![]() |
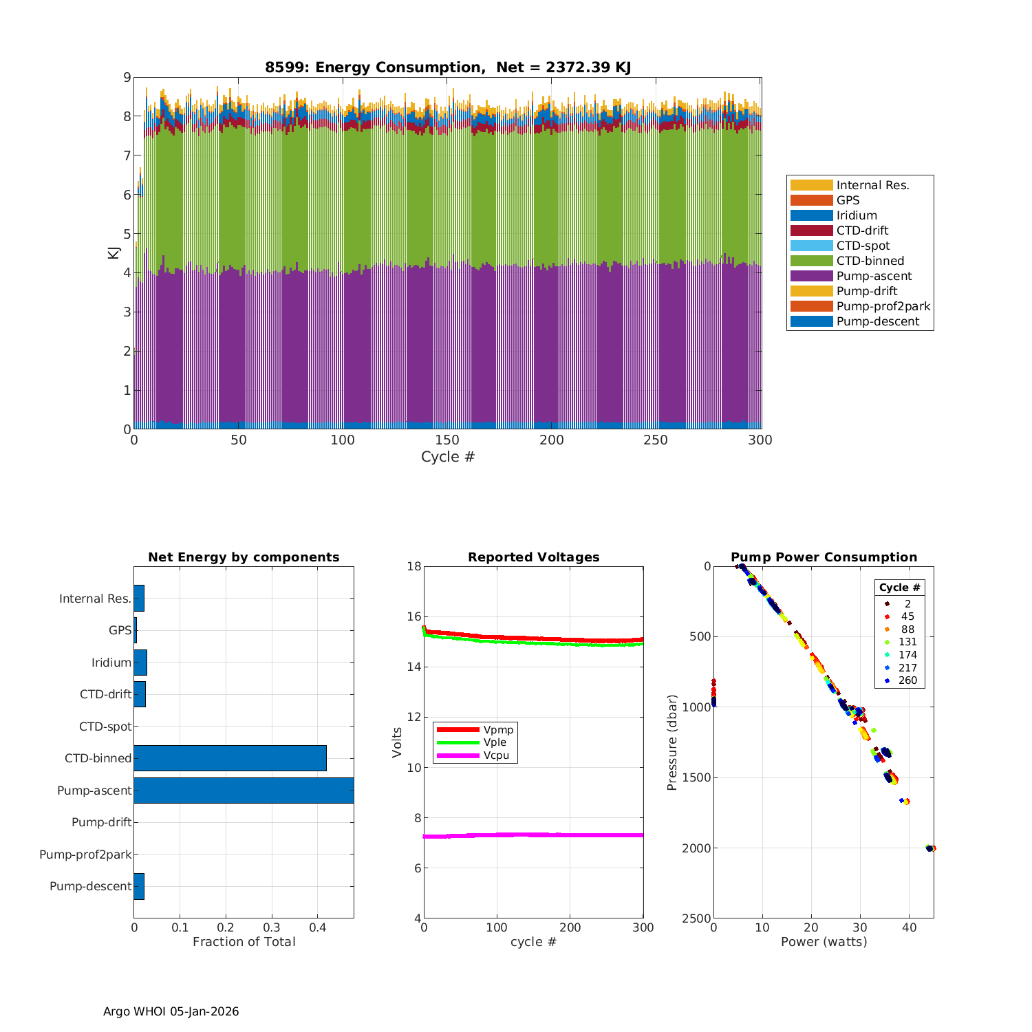
| SOLO_II: #8599 WMO: #5905266 Engineering Plots Fleet Monitor Deployed: 2017-12-14 Last report: 2026-03-04 PI: Phil SUTTON | ![]() |
![]() |
![]() |
![]() |
![]() |
![]() |
![]() |
| 2 | - | - | - | - | - | - | - |