| WMO #: | 2903945 |
| DAC #: | 9901 |
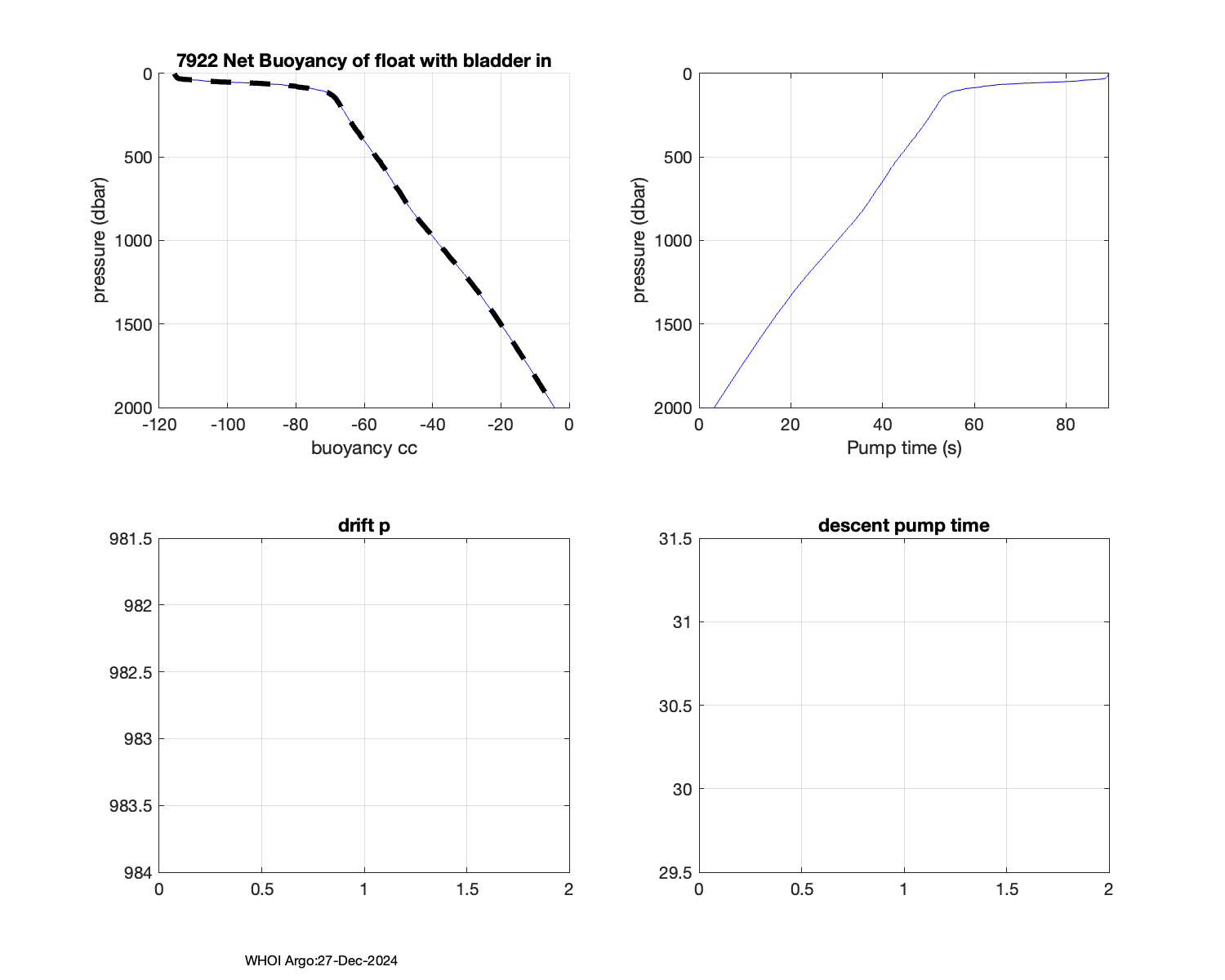
| Serial #: | 7922 |
| |
| PI: | Susan WIJFFELS, Steven JAYNE, Pelle ROBBINS |
| |
| Last Report: | 2025-01-04 |
| Last Cycle: | 6 |
| |
| Last Cycle: | |
| PumpT_Target: | 30.9 s |
| Voltage - open: | 15.1 V |
| Voltage - load: | 14.9 V |
| |
| Hardware: | |
| Platform: | SOLO2IR_TS9 |
| ROM version: | SBE602 15Aug17 ARM V2.4 |
| Temperature: | SBE41CP, s/n: 19609 |
| Conductivity: | SBE41CP, s/n: 19609 |
| Pressure: | Druck, s/n: 12397888 |
| Customisation: | n/a |
| |
| Deployment: | |
| Launched: | 2024-12-10 |
| Launch Platform: | James Cook |
| Cruise ID: | JC-272-2024 |
| Launch Deployer: | G. Tilstone |
| |
| Links: | |
| Listing Files: | WHOI |
| Public plots of telemetry data: | WHOI |
| Plots based on GDAC data: | WHOI |
|
Energy Budget  |
Telemetry  |
GPS  |
Ice Detect Status  |
Iridium SBD
 |
Exception Flags
 |
Cycle Times  |
Surface  |
Battery Summary  |
Batteries during Hydraulic Cycle  |
Pump Times  |
Pump  |
Vacuum  |
Vent  |
Seek Times  |
Iridium MOMSN
 |
CTD scans  |
Fall/Drift/Rise Points  |
Hi-res Scans  |
Hi-res W  |
ccCor Deep  |
Ballast Trim  |
Pump Times  |
|