| WMO #: | 999999 |
| DAC #: | 9999 |
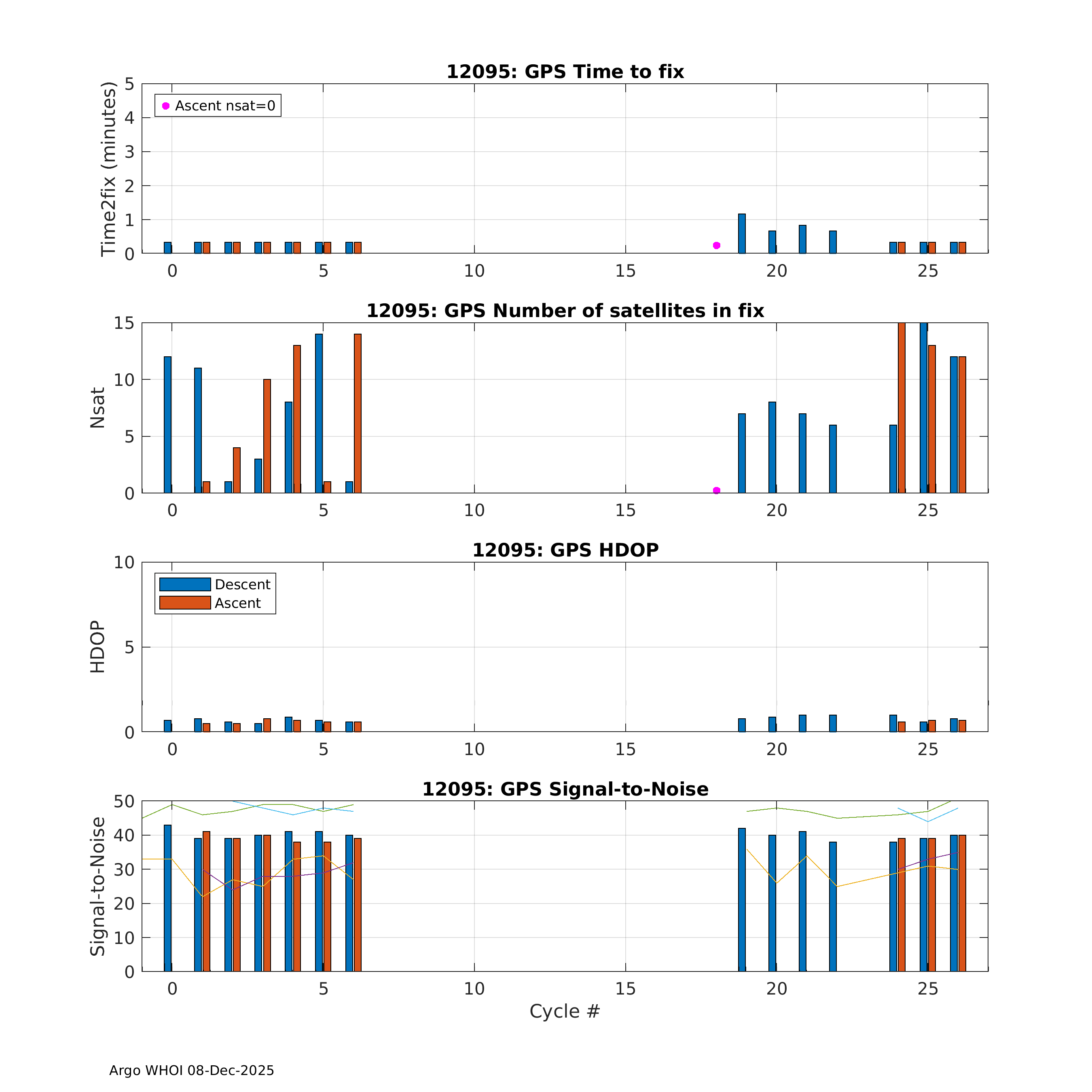
| Serial #: | 12095 |
| |
| PI: | n/a |
| |
| Last Report: | 2024-11-18 |
| Last Cycle: | 26 |
| |
| Last Cycle: | |
| PumpT_Target: | 36.0 s |
| Voltage - open: | 15.1 V |
| Voltage - load: | 14.9 V |
| |
| Hardware: | |
| Platform: | n/a |
| ROM version: | n/a |
| Temperature: | n/a, s/n: n/a |
| Conductivity: | n/a, s/n: n/a |
| Pressure: | n/a, s/n: n/a |
| Customisation: | n/a |
| |
| Deployment: | |
| Launched: | 0-00-00 |
| Launch Platform: | n/a |
| Cruise ID: | n/a |
| Launch Deployer: | n/a |
| |
| Links: | |
| Listing Files: | WHOI |
| Public plots of telemetry data: | WHOI |
| Plots based on GDAC data: | WHOI |
|
Energy Budget  |
Telemetry  |
GPS  |
Ice Detect Status  |
Iridium SBD
 |
Exception Flags
 |
Cycle Times  |
Surface  |
Battery Summary  |
Batteries during Hydraulic Cycle  |
Pump Times  |
Pump  |
Vacuum  |
Vent  |
Seek Times  |
Iridium MOMSN
 |
CTD scans  |
Fall/Drift/Rise Points  |
Hi-res Scans  |
Hi-res W  |
ccCor Deep  |
Ballast Trim  |
Pump Times  |
|