| WMO #: | 3902593 |
| DAC #: | 9863 |
| Serial #: | 11680 |
| |
| PI: | Susan WIJFFELS, Steven JAYNE, Pelle ROBBINS |
| |
| Last Report: | 10007-06-27 |
| Last Cycle: | 6 |
| |
| Last Cycle: | |
| |
| Hardware: | |
| Platform: | ALTOIR_TS12 |
| ROM version: | 10.7.1+rbr4 |
| Temperature: | RBR_ARGO3, s/n: 233755 |
| Conductivity: | RBR_ARGO3, s/n: 233755 |
| Pressure: | RBR, s/n: 233755 |
| Customisation: | TADIRAN |
| |
| Deployment: | |
| Launched: | 2024-09-05 |
| Launch Platform: | Sikuliaq |
| Cruise ID: | Sikuliaq-2024 |
| Launch Deployer: | J. Gobat |
| |
| Links: | |
| Listing Files: | WHOI |
| Public plots of telemetry data: | WHOI |
| Plots based on GDAC data: | WHOI |
|
Energy Budget  |
Telemetry  |
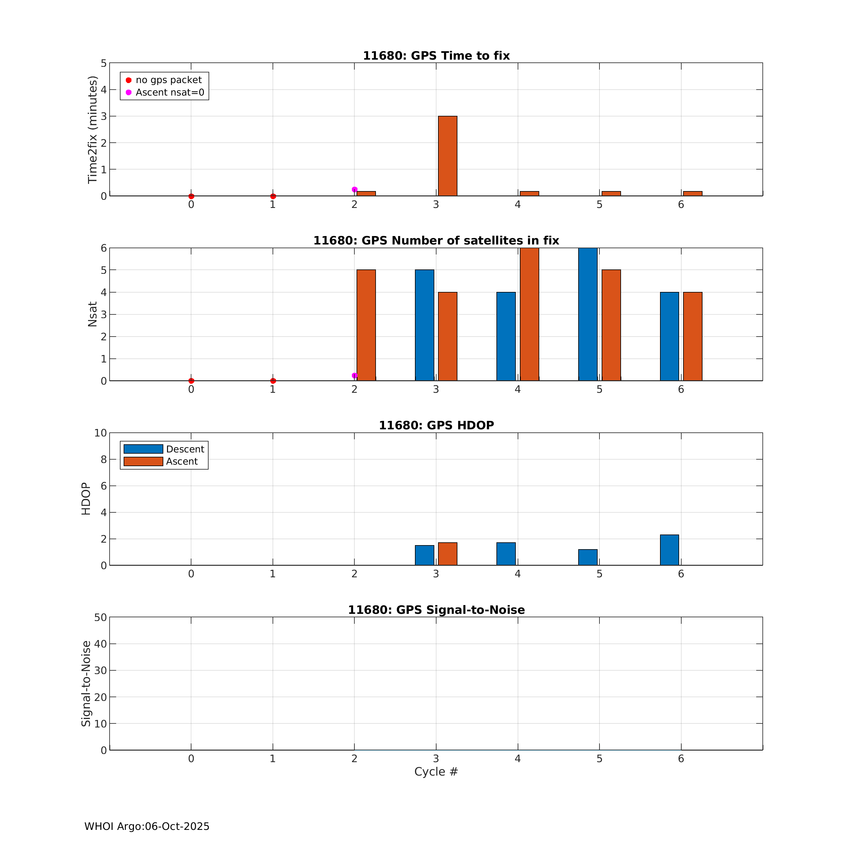
GPS  |
Ice Detect Status  |
Iridium SBD
 |
Exception Flags
 |
Cycle Times  |
Surface  |
Battery Summary  |
Batteries during Hydraulic Cycle  |
Pump Times  |
Pump  |
Vacuum  |
Vent  |
Seek Times  |
Iridium MOMSN
 |
CTD scans  |
Fall/Drift/Rise Points  |
Hi-res Scans  |
Hi-res W  |
ccCor Deep  |
Ballast Trim  |
Pump Times  |
|