WHOI ARGO Float Summaries: deployed_V731

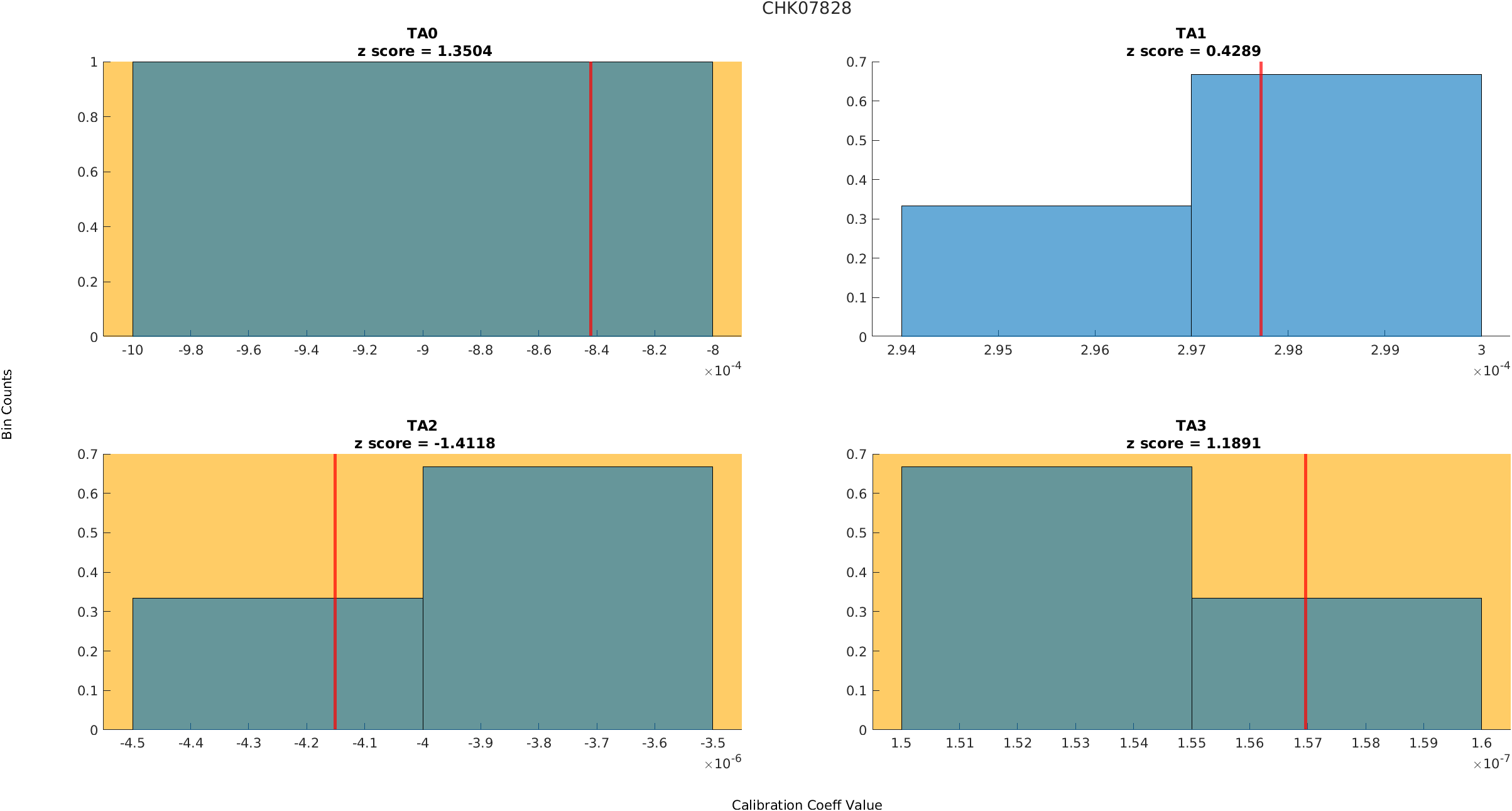
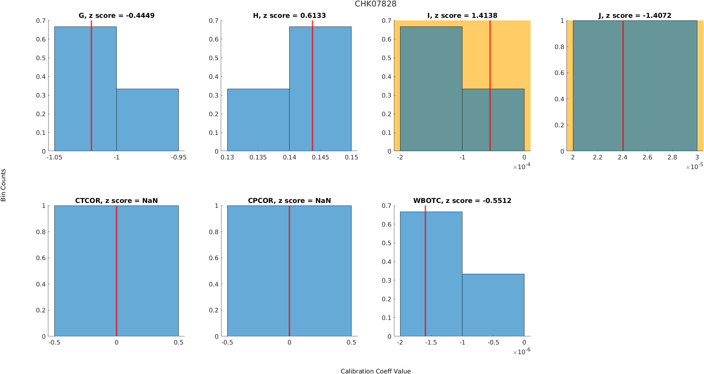
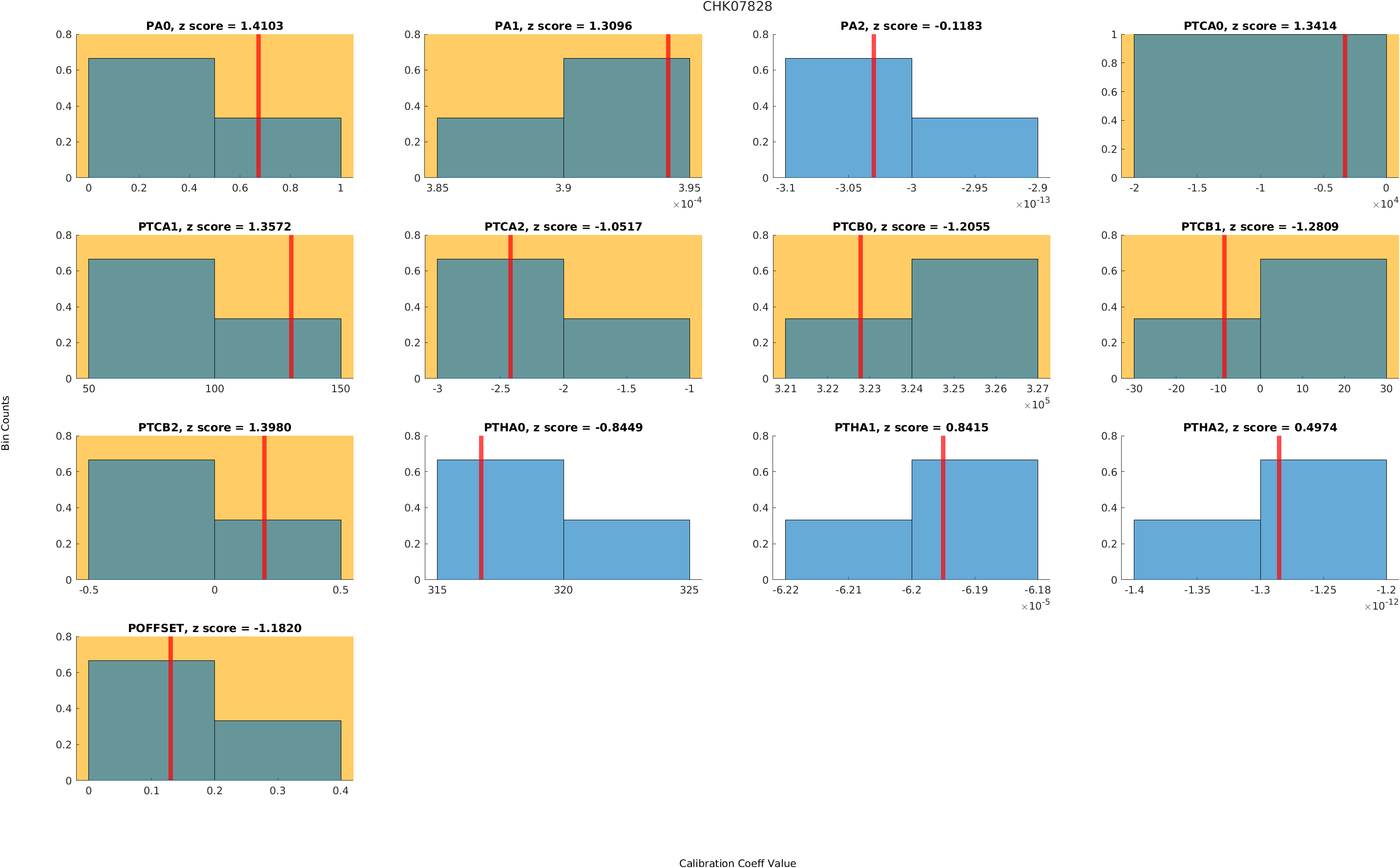
Calibration Coefficient Z scores

Info Cond Temp Pres N2
7832
3902257
CTD SN: 19468
large piston
SBE602 15Aug17 ARM V2.4

Deployed:
2024-03-28
Thomas G Thompson
TN-I08S-2024
7828
1902522
CTD SN: 19473
large piston
SBE602 15Aug17 ARM V2.4

Deployed:
2024-04-29
Kaharoa II
KAII-Delivery-2024
2 - - - -

WHOI Argo Homepage Creation Date: 10-Mar-2026